QEZ-rBlock

一步加入,告别rRNA干扰

One-step addition for rRNA-free libraries.

ribo seq,翻译组,polysome profiling,核糖体分析
简介

新使生物NeoRibo已推出国内首款超高分辨率Ribo-seq建库试剂盒QEZ-seq®。通过对建库流程的系统性优化,我们将传统方法需5–7天的操作流程压缩至约2小时完成,同时显著提升翻译组信号的分辨率与稳定性。

在多种应用场景及不同物种中,QEZ-seq®均表现出更加清晰的三核苷酸周期性以及更高质量的RPF信号。在实际应用过程中,我们也观察到一个普遍存在的问题:不同客户往往采用各自的rRNA去除方法或产品,导致有效数据占比差异较大。大量测序reads落在 rRNA上,降低了数据利用效率,也提高了大家的测序成本。
因此,在实现高分辨率建库的基础上,我们进一步思考:是否可以建立一套更加适配Ribo-seq的统一rRNA处理方法,从源头提升数据纯度与一致性?
传统rRNA去除方法的局限性

目前常见的rRNA去除方案多为RNA-seq开发,而在传统翻译组Ribo-seq实验中,通常采用杂交酶切或生物标记等方式进行rRNA去除,这些方法在实际应用中仍存在一定局限:

多基于全长rRNA序列设计长序列探针,难以有效匹配短RPF片段
依赖参考数据库序列,难以精准覆盖实验中真实存在的高频rRNA污染热点
通常需额外的处理步骤及纯化流程,增加操作复杂度并延长建库时间
纯化过程不可避免带来样本损失,对低输入或微量样本的适用性受限
传统rRNA去除方法的局限性 传统rRNA去除方法的局限性
从“去除”到“阻断”的方法学升级

基于QEZ-seq®体系,新使生物推出全新的rRNA解决方案—— QEZ-rBlock™

不同于传统depletion(去除)方法,我们采用的是Blocking(阻断)策略,通过阻断rRNA片段的逆转录与扩增,使其无法进入最终测序文库,在不破坏样本的前提下,实现对rRNA信号的有效抑制。

数据驱动设计,真正适配Ribo-seq

新使生物QEZ-seq®建库流程已高度优化,核心步骤约2小时即可完成。

QEZ-rBlock™可直接加入QEZ-seq®反应体系,在既有建库流程中同步实现rRNA阻断,无需额外退火或纯化等处理步骤,在提升数据质量的同时,不增加任何操作复杂度或时间成本。

同时,结合QEZ-seq®建库试剂盒的single tube单管反应体系,全流程无需额外转管或纯化回收,有效避免样本损失,使该方案同样适用于低输入及微量样本的rRNA处理。

QEZ-rBlock™ 核心优势 

相比传统rRNA去除方案,QEZ-rBlock™在多个关键维度实现优化:

1. 真正适配Ribo-seq

针对文库短片段设计,避免长探针与短片段不匹配
覆盖高频rRNA污染热点

2. 数据驱动,而非参考设计

基于50+真实样本数据,更贴近实际场景
定位污染片段来源

3. 无额外步骤

直接加入建库体系,不改变原有流程
无需额外退火或其他处理步骤

4. 不增加时间

无新增孵育或反应步骤
保持QEZ-seq®快速建库优势

5. 无样本损失

无需额外纯化回收,避免短片段丢失
兼容低输入及微量样本

6. 提升数据利用效率

降低rRNA reads比例
提高有效数据占比,降低测序成本
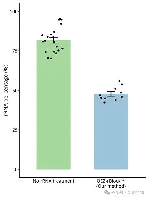
实测数据对比
rRNA reads比例实测对比

QEZ-rBlock™可有效降低rRNA reads比例,目前已在人源及小鼠等动物样本中验证,表现出良好的稳定性与一致性,未来将进一步扩展至植物及其他物种。

完美结合:QEZ-seq®×QEZ-rBlock™
QEZ-seq® 产品图
当快速建库与精准阻断结合,我们能够实现:
更快:2小时建库
更干净:降低rRNA干扰
更真实:高质量翻译组数据
不止于此

我们不仅提供专业翻译组试剂盒,同时提供涵盖多物种和样本类型的超高分辨率翻译组Ribo-seq全套服务,助力您的科研项目取得突破性进展!

验证码

我们团队会在24小时内回复

有任何疑问和建议请随时联系

邮箱: service@neoribo.com