
新使生物NeoRibo已推出国内首款超高分辨率Ribo-seq建库试剂盒QEZ-seq®。通过对建库流程的系统性优化,我们将传统方法需5–7天的操作流程压缩至约2小时完成,同时显著提升翻译组信号的分辨率与稳定性。
在多种应用场景及不同物种中,QEZ-seq®均表现出更加清晰的三核苷酸周期性以及更高质量的RPF信号。(详情点击下方图片查看)
1
目前常见的rRNA去除方案多为RNA-seq开发,而在传统翻译组Ribo-seq实验中,通常采用杂交酶切或生物标记等方式进行rRNA去除,这些方法在实际应用中仍存在一定局限:
多基于全长rRNA序列设计长序列探针,难以有效匹配短RPF片段 依赖参考数据库序列,难以精准覆盖实验中真实存在的高频rRNA污染热点 通常需额外的处理步骤及纯化流程,增加操作复杂度并延长建库时间 纯化过程不可避免带来样本损失,对低输入或微量样本的适用性受限

翻译组建库原理
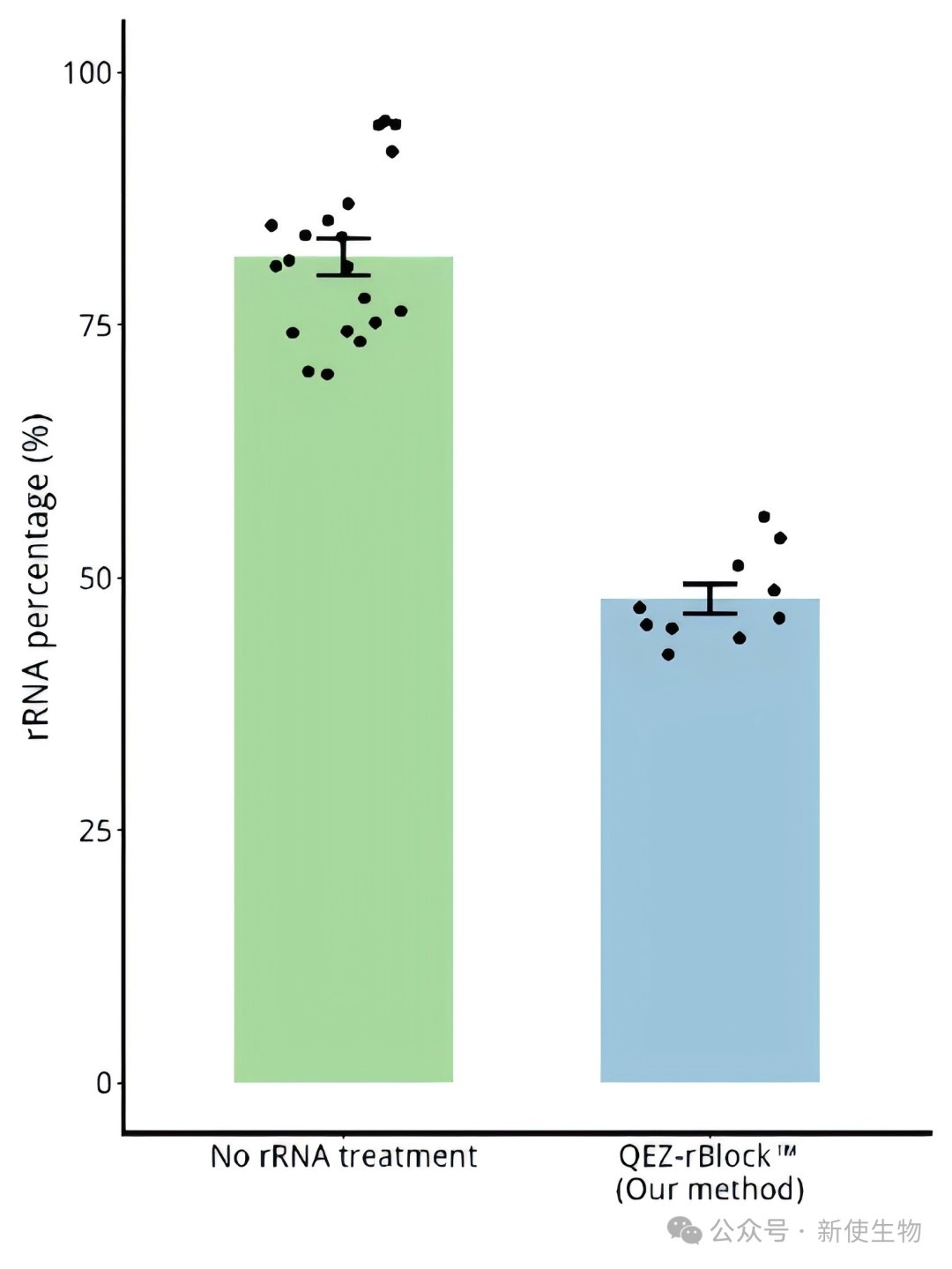
2
基于QEZ-seq®体系,新使生物推出全新的rRNA解决方案——QEZ-rBlock™。
不同于传统depletion(去除)方法,我们采用的是Blocking(阻断)策略,通过阻断rRNA片段的逆转录与扩增,使其无法进入最终测序文库,在不破坏样本的前提下,实现对rRNA信号的有效抑制。

3
QEZ-rBlock™的设计并非依赖参考数据库,而是来源于真实实验数据。
4
新使生物QEZ-seq®建库流程已高度优化,核心步骤约2小时即可完成。
5
相比传统rRNA去除方案,QEZ-rBlock™在多个关键维度实现优化:
针对文库短片段设计,避免长探针与短片段不匹配 覆盖高频rRNA污染热点
基于50+真实样本数据,更贴近实际场景
定位污染片段来源
3. 无额外步骤
直接加入建库体系,不改变原有流程
无需额外退火或其他处理步骤
4. 不增加时间
无新增孵育或反应步骤
保持QEZ-seq®快速建库优势
无需额外纯化回收,避免短片段丢失
兼容低输入及微量样本
6. 提升数据利用效率
降低rRNA reads比例
提高有效数据占比,降低测序成本
6
QEZ-rBlock™可有效降低rRNA reads比例,目前已在人源及小鼠等动物样本中验证,表现出良好的稳定性与一致性,未来将进一步扩展至植物及其他物种。

7
当快速建库与精准阻断结合,我们能够实现:
更快:2小时建库 更干净:降低rRNA干扰 更真实:高质量翻译组数据

8
我们不仅提供专业翻译组试剂盒,同时提供涵盖多物种和样本类型的超高分辨率翻译组Ribo-seq全套服务,助力您的科研项目取得突破性进展!
点击图片查看
点击图片查看
新使生物官方网站:www.neoribo.com
邮箱:service@neoribo.com
联系电话:+86 13738233285
+1 607-279-4324
微信:13738233285 / Hello-Q968
销售区域:中国、亚太地区、美国

| 新使生物专业翻译组一站式服务平台 |
| 产品名称 |
我们能够针对微量细胞或组织,如卵母细胞、卵巢、临床穿刺样品等产出高质量翻译组数据结果。
超高的准确性为研究非经典的开放阅读框(ORFs)提供极大便利,提高微肽(肿瘤新生抗原)的挖掘效率。
另外新使生物提供多物种多聚核糖体分析(Polysome profiling),了解更多翻译组技术信息可登录 www.neoribo.com。
点击图片查看
点击图片查看

关于我们
产品中心
技术服务
技术中心
联系我们





